idż do fizyka statystyczna.
1. Promieniowanie termiczne. Katastrofa w nadfiolecie.
2. Teoria Bohra układów wodoropodobnych.Doświadczenie Francka-Hertza.
3. Zjawisko fotoelektryczne. Wytwarzanie promieniowania rentgenowskiego.
4. Zjawisko Comptona.
5. Oddziaływanie promieniowania elektromagnetycznego z materią.
6. Fale de Broglie'a (własności, omówienie doświadczeń).
7. Postulaty fizyczne mechaniki kwantowej. Równanie Kleina - Gordona.
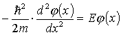
8. Mechanika falowa Schrödingera (operatory, postulaty).
9. Skok potencjału. Bariera potencjału. Zjawisko tunelowania.
10. Stany związane - nieskończona studnia potencjału.
11. Funkcje własne operatora pędu. Zasada nieoznaczoności.
12. Operator momentu pędu.
13. Równanie Schrödingera dla atomu wodoru; liczby kwantowe. Widma metali alkalicznych.
14. Orbitalny magnetyczny moment dipolowy. Precesja Larmora.
15. Oddziaływanie spin-orbita; sprzężenie L-S, j-j
16. Efekt Zeemana. Efekt Starka.
17. Konfiguracje elektronów w atomie. Reguły Hunda.
18. Liniowe widmo rentgenowskie. Prawo Moseley'a. Szerokość linii widmowej.
19. Atomy wieloelektronowe (helopodobne). Układ okresowy pierwiastków.
20. Molekuły dwuatomowe. Wiązania cząsteczkowe. Hybrydyzacja.
|
Notatki do wykładu z FIZYKI KWANTOWEJ.
Opracowali: J. Ropka, B. Wróbel. Konsultacje: J. Wolny
10. Stany związane - nieskończona studnia potencjału.
Jeżeli energia cząsteczki nie pozwala jej na opuszczenie określonego obszaru
powstają tzw. stany związane.
Stan związany ma skwantowany wektor falowy k, tzn. tylko niektóre wartości
wektora falowego są spełnione, ponieważ musi powstać fala, która ma
węzły na barierach.
Potencjał nieskończenie głębokiej
prostokątnej studni ma tę własność, że wiąże cząstkę o skończonej
energii E 0. W
mechanice klasycznej dozwolona jest dowolna wartość energii,
natomiast w mechanice kwantowej dozwolone są tylko pewne dyskretne
wartości własne En. Dla niezbyt dużych wartości
liczby kwantowej n odpowiadające im wartości własne i funkcje
własne użyte być mogą jako przybliżenie odpowiadających im wartości
własnych i funkcji własnych dla potencjału o dużym, lecz skończonym
V0.
Nieskończona studnia potencjału.


W obszarach I i III cząsteczka nie występuje i funkcja falowa zanika

W obszarze II równanie Schrödingera ma postać

Rozwiązanie tego równania zapisujemy w postaci :

Można też szukać rozwiązań postaci
,
jednak w przypadku ruchu ograniczonego wygodniej jest używać funkcji
sinus i cosinus. Z ciągłości funkcji falowej dla otrzymujemy :


(Uwaga: w przypadku nieskończonego skoku potencjału nie uciąglamy pochodnej funkcji falowej ).
Oba te warunki muszą być spełnione, więc wybieramy taką wartość k, by
, jednocześnie zakładając, że A = 0, albo wybieramy takie k,by
i B = 0.
Ze związku i ze wzorów na
dozwolone wartości k otrzymujemy:

Dochodzimy więc do wniosku, że dozwolone są tylko pewne wartości energii całkowitej E, czyli że jest ona skwantowana.
Szczególnie interesująca jest pierwsza wartość własna energii dla nieskończenie głębokiej studni prostokątnej, którą nazywa się energią drgań zerowych. Jest to najniższa możliwa energia całkowita, jaką może mieć cząstka ograniczona przez potencjał nieskończenie głębokiej studni. Energia drgań zerowych nie jest równa zeru. Zjawisko to jest w zasadzie wynikiem zasady nieoznaczoności. Jeśli obszar, w którym przebywa cząstka jest ograniczony przez potencjał, wówczas znamy współrzędną x tej cząstki z niepewnością rzędu .
Zatem niepewność x-owej składowej pędu tej cząstki musi być
przynajmniej równa
.
Z zasady nieoznaczoności wynika, że cząstka związana przez ten
potencjał nie może mieć całkowitej energii równej zeru, bo
oznaczałoby to, że niepewność jej pędu też jest równa zeru. W
szczególnym przypadku wartości własnej E1 pęd jest równy co do wartości bezwzględnej
.
Cząstka może poruszać się w dowolnym kierunku; faktyczna więc wartość pędu nie jest określona i jego niepewność jest rzędu .
Wnioskujemy więc, że istnienie energii drgań zerowych wynika z konieczności istnienia ruchu zerowego. Stoi to w sprzeczności z zasadami fizyki klasycznej.
W analogiczny sposób można pokazać, że dla studni potencjału spełniającej warunek V(x)=0
dla 0 x a otrzymywane funkcje falowe są postaci

Stałą A znajdujemy z warunku unormowania prawdopodobieństwa znalezienia cząstki w pudle, a mianowicie :

Ponieważ

| Zatem |
 |
i unormowana funkcja falowa ma postać
|

góra
|