Notatki do wykładu z FIZYKI KWANTOWEJ.
Opracowali: J. Ropka, B. Wróbel. Konsultacje: J. Wolny
18. Liniowe widmo rentgenowskie. Prawo Moseley'a. Szerokość linii widmowej.
W lampie rentgenowskiej atom wiązki padającej może wybić elektron z
podpowłoki, czym spowoduje wysokie wzbudzenie atomu (ubył jeden z
elektronów o bardzo dużej energii wiązania). Atom
ostatecznie powróci do stanu podstawowego, emitując serię fotonów
wysokoenergetycznych. W ten sposób powstaje liniowe widmo
rentgenowskie atomów anody. Całkowite widmo promieniowania
emitowanego przez lampę rentgenowską składa się z dyskretnego widma
liniowego, nałożonego na widmo ciągłe. Widmo ciągłe powstaje w wyniku
procesów hamowania, gdy elektrony z wiązki doznają przyspieszeń i
opóźnień w trakcie rozpraszania na jądrach atomów anody. Natomiast
kształt widma liniowego jest charakterystyczny dla atomów konkretnego
pierwiastka anody.

Do opisu powstawania liniowych widm rentgenowskich bardzo przydatne jest
pojęcie dziury tworzącej się w jednym z poziomów o wyższej energii
jonizacji i przeskakującej przez kolejne poziomy o niższej energii. W
każdym przeskoku emitowany jest foton rentgenowski, o częstotliwości
, unoszący nadmiar
energii .
Nie zachodzą jednak wszystkie możliwe do pomyślenia przejścia. Reguły
wyboru dla liczb kwantowych dziury są następujące:

Są one takie same jak
reguły wyboru dla elektronu w atomie jednoelektronowym. Całe
emitowane w takich przejściach promieniowanie rentgenowskie daje
liniowe widmo rentgenowskie atomu. Po wybiciu elektronu z powłoki K
powstaje po nim dziura, która może być zapełniona przez elektron z
wyższej powłoki (dziura wędruje na kolejne powłoki). Wszystkie
przejścia dziury z powłoki K dają linię z tzw. serii K:
 |
- przejście dziury do powłoki L |
 |
- przejście dziury do powłoki M itd. |
Powłoka L ma swoje
podpowłoki dlatego dostajemy linie , .
Podpowłoki te tworzą strukturę subtelną (np. żółta linia sodu składa
się z dwóch linii o długościach fali równych 0.58900
i 0.58959 - tzw. dublet).
Za strukturę subtelną odpowiedzialne są: oddziaływanie spin-orbita oraz poprawki
relatywistyczne.
Cechą liniowych widm rentgenowskich jest regularność zmian
częstotliwości i długości fal linii w zależności od liczby atomowej
Z. Przyczyną tej regularności jest zależność charakterystyk
widm rentgenowskich od energii wiązania elektronów w powłokach
wewnętrznych (patrz model Bohra, gdzie
).
Ze wzrostem liczby atomowej Z energie te rosną proporcjonalnie
do
,
gdzie
jest tzw. stałą ekranowania, ze względu na wzrost ładunku jądra i
nie wpływają na nie okresowe zmiany liczby elektronów w powłokach
zewnętrznych atomów. Ta regularność dla widm rentgenowskich została
odkryta i opisana empirycznym wzorem przez Moseley'a:

gdzie C jest
stałą, w przybliżeniu równą stałej Rydberga, zaś
jest stałą ekranowania (dla linii
stała
ekranowania jest równa jedności).
Stosując
wzór empiryczny do określenia Z, Moseley jednoznacznie ustalił
korelację między ładunkiem jądra atomu i jego miejscem w układzie
okresowym pierwiastków. Na przykład, stwierdził on, że liczba atomowa
kobaltu jest o jeden mniejsza niż niklu, choć masa atomowa kobaltu
jest większa. Wykazał również, że w znanym wówczas układzie
występowały luki dla Z = 43, 61, 72, 75. Pierwiastki o tych
liczbach atomowych zostały później odkryte. Tak więc liniowe widmo
rentgenowskie doskonale nadaje się do identyfikacji pierwiastków.
Szerokość linii widmowej.
Szerokość naturalna.
Promieniowanie atomowe posiada w obrębie każdej
linii pewną rzeczywistą naturalną rozciągłość w długościach fali.
Szerokość danej linii spektralnej wysyłanej przez spoczywający
izolowany od otoczenia atom nazywana jest naturalną
szerokością tej linii.
W mechanice kwantowej naturalna szerokość linii spektralnej wynika z
faktu, że energie stacjonarnych stanów atomu nie mają ściśle
określonych wartości. Fakt, że poziomy energetyczne nie reprezentują
ściśle określonych energii, ale są "rozmyte", można łatwo
zrozumieć na podstawie relacji nieokreśloności Heisenberga dla
energii i czasu ,
która stwierdza, że energia układu znana jest jedynie z dokładnością
,
jeżeli do pomiaru energii dysponujemy czasem
.
Czas
może być jednak równy co najwyżej czasowi przebywania atomu w
danym stanie, a ten zależy oczywiście od prawdopodobieństwa przejścia
atomu z danego stanu do jakiegokolwiek innego. Wynika stąd, że
szerokości poziomów energetycznych zależą od prawdopodobieństwa
różnego rodzaju przejść w atomie. Poziom będzie nieskończenie wąski
tylko w tym przypadku, jeżeli czas przebywania układu w danym stanie
będzie nieskończenie długi. Można przyjąć, że jest to spełnione dla
podstawowego stanu układu; natomiast szerokości wzbudzonych stanów
energetycznych o małych czasach życia są znacznie większe.
Obserwowane szerokości linii widmowych są znacznie większe od ich
szerokości naturalnych, mimo że dysponujemy przyrządami spektralnymi
o dostatecznie dobrej zdolności rozdzielczej. Fakt ten można
wytłumaczyć istnieniem szeregu czynników powodujących poszerzenie
linii widmowych.
Czasy życia stanów wzbudzonych są rzędu 10-8-10-9s.
Prowadzi to do poszerzenia linii widmowych

 |
Å, dla |
 |
Å |
Poszerzenie dopplerowskie.
Jeżeli zespół promieniujących atomów znajduje się w równowadze
termodynamicznej, wówczas rozkład ich prędkości podlega prawu
Maxwella. W takim przypadku można podać rozkład natężenia w linii
spektralnej spowodowany efektem Dopplera, czyli tzw. dopplerowski
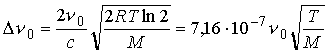
kontur linii. Obliczona stąd połówkowa szerokość linii
wyraża się wzorem

gdzie T jest wyrażane w K.
poszerzenie dopplerowskie jest tym mniejsze im mniejsza jest
częstość. Z tego punktu widzenia linie leżące w czerwonym obszarze
widma są dokładniej wyznaczone niż fioletowe. W obszarze częstości
radiowych szerokość dopplerowska najczęściej może być zupełnie
zaniedbana.
poszerzenie dopplerowskie odgrywa znacznie większą rolę dla atomów
lżejszych.<
szerokość dopplerowską można zmniejszyć obniżając temperaturę
źródła.
Typowe wartości poszerzenia dopplerowskiego są rzędu 10-2 Å.
Poszerzenie ciśnieniowe.
Istotną przyczynę powodującą poszerzenie linii spektralnych stanowi
także oddziaływanie promieniującego atomu z innymi cząstkami tego
samego lub innego rodzaju. W bardzo licznych przypadkach właśnie ten
typ poszerzenia, obok poszerzenia dopplerowskiego, decyduje o
wartości szerokości linii spektralnej. W zależności od rodzaju
oddziaływania cząstek i od warunków, w których one się znajdują,
efekty poszerzenia mogą przebiegać bardzo różnie, jednak wszystkie
one określone są wspólną nazwą: poszerzenie
ciśnieniowe.
Np.
w przypadku zderzeń niesprężystych wzbudzony atom przechodzi na
niższy poziom energetycznych bez promieniowania. Takie zderzenie
prowadzi zatem do skrócenia czasu życia danego stanu wzbudzonego, co
powoduje zwiększenie szerokości odpowiedniego poziomu energetycznego.
Poszerzenie starkowskie.
Siły
wzajemnego oddziaływania atomów czy molekuł są głównie siłami
elektrycznymi, zatem zagadnienie poszerzenia linii spektralnych,
wywołanego zaburzeniem poziomów energetycznych promieniującego atomu
przez inne cząstki, sprowadza się najczęściej do zagadnienia wpływu
międzymolekularnego pola elektrycznego na poziomy energetyczne
rozważanego atomu. Pole pochodzące od nieuporządkowanego zbioru
atomów lub molekuł jest niejednorodne zarówno w przestrzeni, jak i w
czasie i dlatego zamiast rozszczepienia linii obserwujemy ich
poszerzenie, często połączone z przesunięciem maksimów ku czerwieni.
Poszerzenie wywołane polem elektrycznym występuje szczególnie łatwo w
przypadku tych atomów, które wykazują tzw. efekt Starka pierwszego
rzędu, a w szczególności u wodoru i metali alkalicznych.
Odrzut
W wyniku
odrzutu atomu emitującego lub pochłaniającego promieniowanie
następuje przesunięcie linii widmowej o około 10-7 Å.
Efekt ten jest całkowicie do pominięcia przy uwzględnieniu szerokości
naturalnej ( 10-4
Å) i poszerzenia dopplerowskiego ( 10-2
Å)
góra
|