Notatki do wykładu z FIZYKI STATYSTYCZNEJ.
Opracowali: J. Ropka, B. Wróbel. Konsultacje: J. Wolny
19. Gaz elektronów swobodnych.



kF-
maksymalny promień wektora falowego (promień Fermiego w temp. 0 K)
N-
całkowita liczba elektronów =objętość kuli Fermiegio x gęstość stanów

 |
-koncentracja
(gęstość) nośników |
 |
-promień kuli Fermiego |
 |
-pęd Fermiego |
 |
-prędkość Fermiego |
 |
-energia Fermiego |
Rzędy wielkości
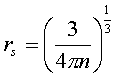
kula o
promieniu rS
jest równa objętości przypadającej na 1 elektron



 |
Å - promień atomu Bohra |
Koncentrację
odczytujemy z tablic:
| dla metalu: |
 |
(elektron ma kilka promieni atomu Bohra dla swobodnego ruchu) |

Wnioski:
Mimo,
że T=0K (klasycznie powinny przestać się poruszać) okazuje się, że
elektrony muszą się poruszać, ponieważ stany podstawowe są zajęte i
muszą być pakowane do wyższych stanów energetycznych, tworząc kulę
Fermiego.
Największa
prędkość elektronów jest rzędu 1%c, czyli możemy zaniedbać poprawki
relatywistyczne.

| energia
atomu wodoru |
 |
 |
(1eV ~11400K) |
Na
poziomie Fermiego elektrony mają taką energię, jaką miałaby gaz
idealny o T ~ 11400 K
 |
(energia termiczna w temperaturze pokojowej) |
Jeżeli
dodamy temperaturę, to rozmyje nam krawędź kuli Fermiego, ale bardzo
niewiele. Nadal w pierwszym przybliżeniu można przyjąć, że wszystkie
stany poniżej są obsadzone, a powyżej są puste.
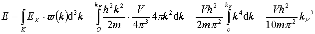
Energia
całkowita (dla T=0K)
całka po
kuli Fermiego

Średnia
energia na jedną cząsteczkę


 
Zarówno
EF jak i TF
są duże w porównaniu z energią termiczną (w T=0 K).
Liczymy
przybliżenie gazu doskonałego, więc nie liczymy energii potencjalnej.
Ale ponieważ gaz elektronów rozpatrujemy w sieci krystalicznej, więc
w pierwszym przybliżeniu można zaniedbać oddziaływanie między
elektronami.
Własności
termodynamiczne gazu elektronów swobodnych.
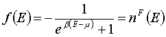
Statystyka
Fermiego:
 |
średnie obsadzenie danego poziomu energetycznego |
 |
rozkład
Fermiego w
T=0 K
|

 |
w T>0 K |
 |
 |
- to równanie pozwala wyznaczyć potencjał chemiczny |
| Funkcja |
 |
zwana jest rozkładem Fermiego |
Jest to
funkcja rozkładu dla cząstek, z których tylko jedna może zajmować
każdy stan kwantowy. Dla elektronów i wszystkich pozostałych cząstek
mających spin połówkowy, czyli dla fermionów, taka funkcja rozkładu
zapewnia spełnienie zakazu Pauliego. Rozkład Fermiego jest słuszny
dla wszystkich układów atomów lub cząstek umieszczanych na z góry
ustalonych pozycjach, wszędzie tam, gdzie tylko jeden atom lub
cząstka może zajmować taką pozycję. sytuacje takie można napotkać
przy rozważaniu termodynamiki defektów, rozpuszczania gazów w ciałach
stałych.
W
wyższych temperaturach ostra krawędź funkcji Fermiego zostaje
zaokrąglona- stany poniżej energii
EF
mają skończone prawdopodobieństwo bycia pustymi, a te o energiach
wyższych od
EF
mogą być zapełnione. Szerokość obszaru, na którym odchylenie funkcji
Fermiego od funkcji schodkowej jest znaczące, jest rzędu
2kT.
Widać, że w miarę podnoszenia temperatury tylko niewielka liczba
elektronów może pobrać energię. Fakt ten ma istotne konsekwencje, np.
dla ciepła właściwego gazu elektronowego.
Ciepło właściwe elektronów w metalach
Dla
typowej koncentracji elektronów przewodnictwa należałoby oczekiwać,
poza ciepłem właściwym sieci krystalicznej, wkładu od elektronów do
ciepła właściwego
,
zgodnie z prawem ekwipartycji energii - przynajmniej w podwyższonych
temperaturach. Doświadczenia wykonywane na metalach nie wykazały
jednak odchyleń od prawa Dulonga- Petita. Powód jest prosty:
elektrony, w odróżnieniu od gazu klasycznego, mogą pobierać energię
tylko wtedy, gdy mają możliwość przeniesienia się na nie obsadzony
stan o energii niewiele się różniącej od energii stanu wyjściowego.
Liczba elektronów, które mają taką możliwość, wyrażona jako ułamek
całkowitej koncentracji n, jest zaledwie rzędu 1%, jak to
pokazuje następujący przykład:
"Rozmyty"
obszar funkcji Fermiego ma szerokość rzędu 4kT, czyli zakaz
Pauliego zezwala tylko części
4kT/EF
wszystkich "swobodnych" elektronów (o koncentracji n)
na absorbowanie energii termicznej. Energia przypadająca na jeden
elektron jest rzędu kT, tak więc energia całkowita wszystkich
termicznie wzbudzonych elektronów jest rzędu

Oznaczając
przez

temperaturę Fermiego, otrzymujemy następujące oszacowanie rzędu
wielkości ciepła właściwego elektronów:

Temperatury
Fermiego są rzędu 105 K i to, ze względu na czynniki
we wzorze, tłumaczy znikomy wkład elektronów przewodnictwa do ciepła
właściwego.
Przeprowadzimy
dokładnie obliczenia:
| Eel |
-energia elekt. |
 |
-
ciepło właściwe elektronów |



Pochodna
funkcji Fermiego po temperaturze jest niezerowa tylko w pobliżu
energii Fermiego. Ponieważ gęstość stanów
,
czyli jest ciągłą funkcją energii, w obliczenia istotna jest tylko
gęstość stanów na powierzchni Fermiego.
, |
 |
| zróbmy
podstawienie; |
 |




Jedyną
różnicą pomiędzy ścisłym rachunkiem i poprzednim szacowaniem jest
pojawienie się czynnika
zamiast liczby 8.
Ostatecznie
:


W niskich
temperaturach ciepło właściwe sieci krystalicznej jest proporcjonalne
do T3 (model Debye’a), a zatem całkowite
ciepło właściwe wyraża się wzorem :

Przyczynek
do ciepła właściwego pochodzący od gazu elektronów swobodnych jest
istotny tylko w niskich temperaturach, kiedy składnik liniowy
przewyższa składnik sześcienny. Dla niektórych substancji efektywna
masa jest bardzo duża (mają duże
).
Są to tzw. ciężkie fermiony.
góra
|