idż do fizyka kwantowa.
1. Rozkład dwumienny; przykłady. Liczba stanów dozwolonych dla układu makroskopowego.

2. Definicja i własności temperatury bezwzględnej; temperatura układów w równowadze cieplnej; pomiar temperatury.

3. Entropia (definicja mikroskopowa, małe przekazy ciepła); stan równowagi.

4. Układ kontaktujący się termicznie ze zbiornikiem ciepła (rozkład kanoniczny).

5. Paramagnetyzm (prawo Curie). Ciepło właściwe oscylatora harmonicznego.

6. Średnia energia i średnie ciśnienie gazu doskonałego.

7. Twierdzenie o wiriale w zastosowaniu do gazu doskonałego. Gazy rzeczywiste.

8. Ogólne równanie stanu gazów doskonałych.

9. Twierdzenie o ekwipartycji energii (wyprowadzenie i przykłady).

10. Maxwellowski rozkład prędkości.

11. Entropia gazu doskonałego; równanie adiabaty.

12. Zasady termodynamiki i związki statystyczne. Sprawność silnika. Cykl Carnota.

13. Potencjały termodynamiczne (wyprowadzenia) i tożsamości Maxwella.

14. Prawo Steana-Boltzmana. Prawo Wina.

15. Stan równowagi pomiędzy fazami; równanie Clausiusa - Clapeyrona.

16. Układy otwarte. Statystyki kwantowe. Granica klasyczna.

17. Rozkład Plancka.

18. Gęstość stanów w przestrzeniach 1, 2, 3-wymiarowych. Periodyczne a sztywne warunki brzegowe.

19. Gaz elektronów swobodnych.

20. Półprzewodniki: gęstość nośników, prawo działania mas, potencjał chemiczny.

Notatki do wykładu z FIZYKI STATYSTYCZNEJ.
Opracowali: J. Ropka, B. Wróbel.
Konsultacje: J. Wolny


11. Entropia gazu doskonałego; równanie adiabaty.

Entropia gazu doskonałego.

- równanie stanu gazu doskonałego
- równanie stanu dla nieskończenie małego procesu kwazistatycznego.


;
całkujemy
równanie to zależy tylko od wartości początkowych i końcowych.

Równanie adiabaty.



dQ=0;
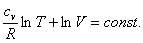
dS=0


- równanie adiabaty we współrzędnych (T,V)
równanie adiabaty we współrzędnych (p,V)



Przykład przemiany adiabatycznej: rozchodzenie się fal dźwiękowych w powietrzu.

góra